Branchen-News

Cyclodextrin-basierte Lösungen zur Verbesserung der Löslichkeit und Stabilität

2025-12-23 - Hinterlassen Sie mir eine Nachricht

Cyclodextrin-basierte Lösungen zur Verbesserung der Löslichkeit und Stabilität

Technischer Überblick über Hydroxypropyl Betadex und Betadex Sulfobutyl Ether Sodium

Cyclodextrine sind weithin für ihre Fähigkeit bekannt, die Löslichkeit und Stabilität schwerlöslicher oder chemisch empfindlicher Verbindungen zu verbessern. Aufgrund ihrer einzigartigen zyklischen Molekülstruktur sind Cyclodextrine und ihre Derivate zu wichtigen funktionellen Hilfsstoffen in pharmazeutischen, chemischen und verwandten Formulierungsbereichen geworden. Als Reaktion auf die steigenden technischen und regulatorischen Anforderungen hat Xi’an Deli Biochemical die technische Dokumentation und den Produktsupport für seine wichtigsten Cyclodextrin-Derivate weiter verfeinert:Hydroxypropyl-Betadex (HPBCD) und Betadex-Sulfobutylether-Natrium (SBECD).


Strukturelle Eigenschaften und funktionelle Leistung von Cyclodextrinen

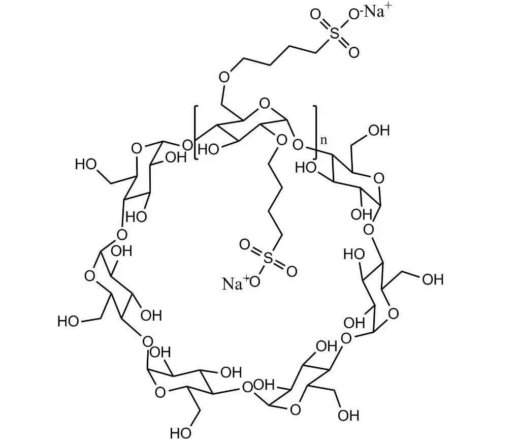
Cyclodextrine sind zyklische Oligosaccharide, die aus Glucoseeinheiten bestehen, die durch α-1,4-glykosidische Bindungen verbunden sind. Ihre molekulare Architektur zeichnet sich durch eine hydrophile Außenoberfläche und einen relativ hydrophoben Innenhohlraum aus, was die Bildung von Einschlusskomplexen mit einer Vielzahl von Gastmolekülen ermöglicht. Eine chemische Modifikation der Cyclodextrinstruktur kann die Wasserlöslichkeit erheblich verbessern und die Anwendungsvielfalt erweitern.


Hydroxypropyl Betadex (HPBCD)


Hydroxypropyl Betadex ist ein chemisch modifiziertes β-Cyclodextrin, das entwickelt wurde, um die begrenzte Löslichkeit nativer Cyclodextrine zu überwinden. Aufgrund seiner verbesserten Wasserlöslichkeit und günstigen Kompatibilität eignet sich HPBCD für Anwendungen, die eine effektive Solubilisierung, Stabilisierung und Formulierungsflexibilität in verschiedenen Systemen erfordern.


Betadex Sulfobutylether-Natrium (SBECD)


Betadex-Sulfobutylether-Natrium ist ein anionisches Cyclodextrin-Derivat, das durch Sulfobutylether-Substituenten gekennzeichnet ist. Diese Struktur verbessert die elektrostatischen Wechselwirkungen mit bestimmten Verbindungen und unterstützt so eine verbesserte Löslichkeit, komplexe Stabilität und Formulierungsrobustheit in anspruchsvolleren Anwendungen.

Standardisierte Produktinformationen und technischer Support

Um die Formulierungsentwicklung, Qualitätsbewertung und Beschaffungsprozesse besser zu unterstützen, hat Xi’an Deli Biochemical die Produktinformationen für HPBCD und SBECD systematisch aktualisiert, darunter:


  • Klar definierte und standardisierte Produktspezifikationen und Analyseparameter
  • Chargenspezifische Analysezertifikate (COA) zur Gewährleistung der Rückverfolgbarkeit und Qualitätsüberprüfung
  • Erweiterte technische FAQs zu Handhabung, Lagerung und typischen Anwendungsaspekten
  • Optimierte Produktzusammenfassungen, die eine effiziente technische Überprüfung und Auswahl erleichtern sollen


Diese Verbesserungen sollen die Transparenz erhöhen, die Bewertungszeiten verkürzen und eine konsistente Produktleistung während des gesamten Lieferzyklus unterstützen.


Fertigungserfahrung und Qualitätssicherung

Xi’an Deli Biochemical wurde 1999 gegründet und verfügt über 26 Jahre Erfahrung in der Herstellung von Cyclodextrin-Derivaten. Das Unternehmen konzentriert sich auf die kontrollierte Produktion von Hydroxypropyl-Betadex und Betadex-Sulfobutylether-Natrium und legt dabei Wert auf Prozesskonsistenz, Chargenzuverlässigkeit und langfristige Lieferstabilität. Strukturierte Qualitätsmanagementpraktiken unterstützen die technischen, regulatorischen und Beschaffungsanforderungen der Kunden.


Anwendungsbereich und technische Zusammenarbeit

Basierend auf Cyclodextrin-Einschluss- und Stabilisierungsmechanismen sind HPBCD und SBECD in zahlreichen technischen Bereichen anwendbar, einschließlich pharmazeutischer Formulierungen, Spezialchemikalien, Veterinärprodukten und anderen Systemen, die eine verbesserte Löslichkeit und Stabilität erfordern. Xi’an Deli Biochemical arbeitet weiterhin mit Partnern durch anwendungsorientierte Kommunikation und technische Zusammenarbeit zusammen, um die sich entwickelnden Formulierungsanforderungen zu unterstützen.


Über Unternehmen der biochemischen Industrie von Xi'an Deli

Xi’an Deli Biochemical Industry Companies wurde 1999 gegründet und ist ein spezialisierter Hersteller von Cyclodextrin-Derivaten, der Hydroxypropyl-Betadex (HPBCD) und Betadex-Sulfobutylether-Natrium (SBECD) an globale Kunden liefert. Mit einem langjährigen Fokus auf Produktkonsistenz, klaren Spezifikationen und praktischer technischer Unterstützung ist das Unternehmen weiterhin bestrebt, zuverlässige Lösungen auf Cyclodextrinbasis bereitzustellen.


Wenn Sie möchten, kann ich auch:


  • Optimieren Sie dies weiter für Google SEO (ohne den technischen Ton zu reduzieren)
  • Verdichten Sie es zu einer Produktseitenversion mit dem Titel „Technisches Update“.
  • Passen Sie es an regulatorische/qualitätsorientierte Kunden an


Sagen Sie mir einfach, wo Sie es veröffentlichen möchten.


Anfrage absenden


icon
X
Wir verwenden Cookies, um Ihnen ein besseres Surferlebnis zu bieten, den Website-Verkehr zu analysieren und Inhalte zu personalisieren. Durch die Nutzung dieser Website stimmen Sie der Verwendung von Cookies zu. Datenschutzrichtlinie
Ablehnen Akzeptieren